MENU
home
菌娘らぼ
医学語呂なう
過去問チャート
ホルモンズ
医療電卓
blog
about
第109回 午前問題 38問目 - 109AM038
109午前
画像問題
発熱
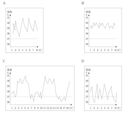
熱型を図に示す。
熱型の種類と図の組合せで正しいのはどれか。
1. 間欠熱 - A
2. 稽留熱 - B
3. 弛張熱 - C
4. 波状熱 - D
解答を見る
2. 稽留熱 - B
前のページへ
次のページへ